苏州这些高校入选江苏高校品牌专业建设工程三期项目名单

苏州发布
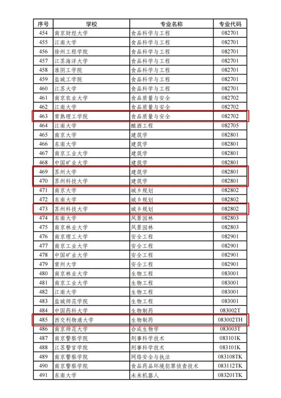
关注日前,江苏省教育厅网站发布江苏高校品牌专业建设工程三期项目名单公示。其中涉及苏州大学、苏州科技大学、常熟理工学院、苏州城市学院、西交利物浦大学、昆山杜克大学等多所苏州高校专业,

根据《江苏高水平大学建设方案(2021-2025年)》(苏政发〔2021〕14号)和《省教育厅关于做好江苏高校品牌专业建设工程三期项目实施工作的通知》(苏教高函〔2024〕11号)等文件要求,经学校自主申报、专家审核,拟立项658个江苏高校品牌专业建设工程三期项目,现予公示。公示时间为2024年8月16日至8月22日。如有异议,请以书面形式向我厅反映,并注明本人的真实姓名、单位和联系方式。联系电话:025-83335556;邮箱:zhurq@ec.js.edu.cn。
省教育厅
2024年8月16日
江苏高校品牌专业建设工程
三期项目名单



















